">
">
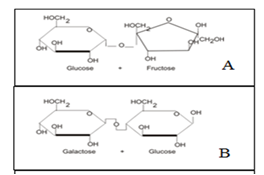
Hình vẽ bên là công thức cấu tạo của 2 loại đường đôi. A và B lần lượt là
Hình vẽ bên là công thức cấu tạo của 2 loại đường đôi. A và B lần lượt là
A. Sucrose và lactose.
B. Mantose và lactose.
C. Sucrose và mantose.
D. Lactose và sucrose.
Đáp án đúng: A
Sucrose (đường mía) gồm 1 phân tử Glucose và 1 phân tử Fructose, Lactose (đường sữa) gồm 1 phân tử Glucose và 1 phân tử galactose.
Số bình luận về đáp án: 0